
文章插图
受理条件
?。ㄒ唬┤〉孟嘤ψ技莩敌突导菔恢げ⒕哂?年以上驾驶经历;
?。ǘ┪藿煌ㄕ厥路缸铩⑽O占菔环缸锛锹?,无吸毒记录,无饮酒后驾驶记录,最近连续3个记分周期内没有记满12分记录;
(三)无暴力犯罪记录;
?。ㄋ模┚缆吩耸涔芾砘苟杂泄胤伞⒎ü婧头窆娣丁⒎裰丁⒒滴藓吐每图本然炯寄艿饶谌菘际院细?。
城市人民政府可以根据地方实际规定其他条件 。
申报材料
1、浙江省道路运输办事事项申请书,纸质或电子档一份
2、近期二寸免冠彩色证件照片,纸质或电子档两份
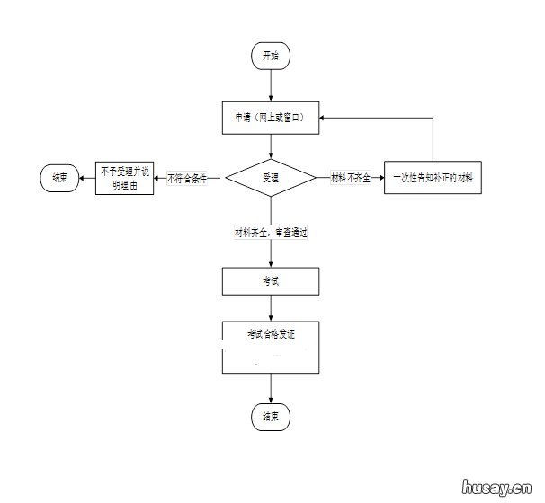
办理流程图

文章插图
线下办理地点
具体地址: 温州市民中心(温州市鹿城区滨江街道会展路1288号)B幢一楼165、166窗口
办理时间: 工作日,夏季:上午8:30-12:00,下午2:30-5:30;春,秋 , 冬季:上午8:30-12:00 , 下午2:00-5:00
联系电话: 0577-88926307
收费标准
●是否收费
不收费
●收费依据
无
●是否支持网上支付
【温州出租汽车驾驶员从业资格申请指南 温州出租汽车驾驶员从业资格证在哪里考】不支持
- 2021温州益康保中规定的特殊病种有哪些? 温州益康保
- 温州老人孩子如何绑定医保电子凭证 温州子女医保卡与家长绑定
- 温州医保电子凭证如何申领? 医保电子凭证申请流程
- 2021年温州市生育保险如何报销 2021年温州市生育保险如何报销的
- 温州龙湾区支出型贫困家庭救助实施办法 温州市社会救助
- 温州市跨省异地就医备案操作指南 温州异地就医医保报销流程
- 温州跨省异地就医备案操作指南 温州医保异地备案
- 温州苍南县医保电子凭证激活方式 医保电子凭证激活凭证
- 温州乐清市生育保险金网上如何办理 乐清生育保险待遇申请表
- 温州医保电子凭证激活流程+定点医药机构名单 医保电子凭证激活操作指南
