
文章插图
无锡生育津贴办理详情:
办理对象:符合享受生育保险相关待遇的参保女职工、参加生育保险且符合享受护理假生育津贴的男职工 。
办理方式
【无锡生育津贴申请办理对象+材料+流程 无锡申请生育津贴需要提供什么材料】1.窗口办理:无锡向社会公布经办服务大厅办理地址 。

文章插图
2.网上办理:可以通过“无锡医保”官微办理 。
办理所需材料
1.医保电子凭证或有效身份证件或社保卡即可;
2.病历资料:包括门诊病历和出院小结等 。
办理流程
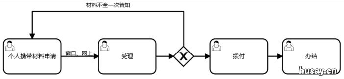
1.参保单位经办人携带申报材料至当地经办机构(或网上根据提示提交材料)办理;
2.工作人员对材料是否符合办理条件进行审核,若材料符合办理条件即时受理,若材料不符合的,一次性告知到位;
3.审核通过的 , 完成支付,并反馈办理结果 。
办理时间:10个工作日
办理流程图:

文章插图
咨询电话:82411510
- 无锡生育保险和职工医保合并对个人有影响吗? 无锡医保生育报销
- 无锡职工养老保险退休审批需要哪些材料? 无锡人社退休手续
- 无锡职工养老保险退休办理流程 无锡人社退休手续
- 无锡养老保险跨省转入线下办理流程 在无锡交的社保可以转回外省吗
- 无锡养老保险跨省转入线上办理流程 在无锡交的社保可以转回外省吗
- 无锡社保管理服务办理条件+材料+流程 无锡市社保服务中心
- 无锡养老保险转入申请条件+时间+地点 无锡养老保险转移需要什么手续
- 无锡新吴社保办事处在哪? 无锡新吴区社保卡在哪里办
- 无锡全职妈妈怎么缴纳社保? 全职妈妈如何交社保
- 无锡社保缴费明细怎么打印? 无锡社保打印个人缴存明细在哪打印
